Topics covered in this article include:
Introduction
This phantom measures the following aspects of image quality: positioning accuracy, CT number accuracy, low contrast resolution, high contrast (spatial) resolution, uniformity, and noise.
The QA phantom contains four sections, each corresponding to a single scan plane: Module 1: CT numbers, Module 2: low contrast resolution, Module 3: uniformity and distance accuracy, and Module 4: high contrast resolution.
Measurement Summary
The analysis provides the following results:
- Sensitometry Values
- Low Contrast Resolution
- Uniformity
- Abs. Max. Deviation from Center ROI
- Distance Accuracy
- ACR CT MTF Plot
- MTF Critical Frequencies
- MTF Plot Values
The measurements are completely automated, requiring the user only to drag and drop the image set into the web-based software interface. A detailed report is created.
Instructions
The test requires at least one image and it must be a DICOM file. The files must contain "acrct" somewhere in the file name or that "ACR CT Analysis" is selected in the Type drop down as shown below:
When imaging QA tests are added to templates an upload control will appear in the scheduled QA's data entry screen allowing the user to upload images for automated analysis.
To add files to the upload queue simply drag them from a Windows Explorer folder to the drag and drop folder and release them. Alternatively, by clicking on the Add Files button to the lower right of the control a windows file selection dialog will open and files can be selected for upload. Under either method, multiple files may be selected for upload at once.
If the automatically upload checkbox is checked (the default) then file uploading will start immediately as files are added.
If the automatically upload button is turned to off the file upload process must be started manually clicking the Start upload button on the lower right of the control. To clear the upload queue click the Clear button.
Once file series have been uploaded they will be displayed below the upload control. To remove a series from the queue click the Cancel button beside the series. To start processing click the Start Processing button. A description for the image series can be added at this point. Click the Edit button next to the series. Type a description for the series into the text box that appears below Description and either click Save or press the enter key. The description can also be edited after the images have been processed. Descriptions will appear in the report with the analysis of the series.
While files are being processed users may perform other tasks such as data entry.
Available Tests
The following table shows the tests to select in the template builder corresponding to the supported analyses.
| Template Section | Subsection | Tests |
| ACR CT Analysis | Module 1: CT Numbers |
|
| Module 2: Low Contrast Resolution |
|
|
| Module 3: Uniformity |
|
|
| Module 3: Distance Accuracy |
|
|
| Module 4: High Contrast Resolution |
|
Image Acquisition Suggestions
Reference the latest ACR Phantom Testing: CT guidance for phantom placement and scan acquisition parameters. Most parameters will be set to those used clinically. The following steps should apply to all acquisitions:
- Align the scribed lines on the phantom to the scanner's alignment lasers in the sagittal, coronal, and axial planes.
- Set the slice thickness to 2 mm or less.
- Use a field of view close to but not smaller than 21 cm.
Detailed Discussion of Measurements
CT Numbers
The image window width is set to 400 and window level is set to 0. A circular region of interest (ROI) is drawn with an approximately 8 mm radius (200 mm²) from the center of each material. The mean pixel value (adjusted by rescale slope and intercept) is reported for each ROI corresponding to polyethylene, water, acrylic, air, and bone.
Low Contrast Resolution
The low contrast module contains a single 25 mm diameter cylinder at the top and four cylinders each of 6, 5, 4, 3, 2 mm diameters in that order arranged counter clockwise.¹
The image window width is set to 100 and window level is set to 100.
Contrast to noise is calculated as
| A - B | ÷ SD
Where
- A is the mean pixel value of an ROI in the center of the 25 mm cylinder with an approximate radius of 5.64 mm (100 mm²). It is marked in red on the figure above. The plus sign is the center of the ROI.
- B is the mean pixel value of an ROI centered between the 25 mm cylinder and the four 6 mm cylinders with an approximate radius of 5.64 mm (100 mm²). This area contains no cylinders and is used for the background measurement. It is marked in blue on the figure above. The plus sign is the center of the ROI.
- SD is the standard deviation of pixel values for B
Uniformity
The image window width is set to 100 and window level is set to 0.
Mean pixel values and standard deviations are reported for the center, top, right, bottom, and left ROIs as shown in the figure above. Each ROI has an approximate radius of 11.28 mm (400 mm²).¹ The center of each ROI is marked with the plus sign.
The means for the top, right, bottom, and left ROI is compared to the mean for the center ROI and the difference is reported. The ROI with the greatest absolute difference from the center ROI mean is identified and reported separately.
Distance Accuracy
There are two 0.28 mm BBs in the uniformity section spaced 100 mm apart.¹ The center of each BB is identified and the distance between the two is measured using the DICOM tags to covert pixel spacing into millimeters.
The known distance (100 mm) is compared against the measured distance to provide the scaling error in percent. The formula is
ScalingErr = | ( M - N ) | ÷ N × 100
Where
- ScalingErr is the scaling error in percent
- M is the measured distance between the BBs (assuming the pixel spacing tag is correct) in millimeters
- N is the nominal distance between the BBs (100 mm) in millimeters
The measured pixel size is calculated as
MPS = ( M - N ) × NPS
Where
- MPS is the measured pixel size in millimeters
- M is the measured distance between the BBs (assuming the pixel spacing tag is correct) in millimeters
- N is the nominal distance between the BBs (100 mm) in millimeters
- NPS is the nominal pixel size in millimeters
High Contrast Resolution
The MTF curve is plotted and MTF values are reported for each bar pattern. The bar patterns contain eight bar resolution patterns: 4, 5, 6, 7, 8, 9, 10, and 12 lp/cm, each fitting into a 15-mm x 15-mm square region.¹
For each bar pattern, the Contrast Transfer Function is calculated as follows:
Where
- 𝐼max(𝑓) is the local contrast maxima for a given frequency 𝑓
- 𝐼min(𝑓) is the local contrast minima for a given frequency 𝑓.²
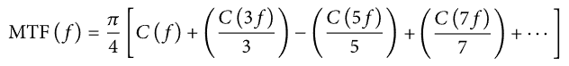
The CTF is converted to MTF using the Colman formula
Where
- MTF(𝑓) is the MTF for a given frequency
- C(𝑓) is the the bar pattern CTF(𝑓) for the same given frequency.³
The MTF values are normalized and plotted. Frequency values at MTF values of 70%, 50%, 30%, and 20% are calculated. For each critical frequency (70%, 50%, 30%, and 20%) the lp/cm intercept is reported.
Sample Report
Below is an example of the report generated:
Citations
-
K. Albus. "Phantom Overview: CT (Revised 2-15-2023)." ACR.org, American College of Radiology, 15 Feb. 2023, https://accreditationsupport.acr.org/support/solutions/articles/11000053945-phantom-overview-ct-revised-2-15-2023-
- E. P. Efstathopoulos, L. Costaridou, O. Kocsis, and G. Panayio-takis, “A protocol-based evaluation of medical image digitizers,” British Journal of Radiology,vol.74, no.885,pp. 841–846, 2001
- B. Norman Nill, “Conversion between sine wave and square wave spatial frequency response of an imaging system,” MITRE Technical Report MTR 01B0000021, 2001.
Comments
0 comments
Please sign in to leave a comment.