Topics covered in this article include:
Introduction
This phantom measures the following aspects of image quality: sensitometry, high contrast resolution, uniformity, and spatial linearity. These tests are based on the Varian commissioning tests.
The phantom contains two sections, each corresponding to a single scan plane: sensitometry and uniformity.
Measurement Summary
The analysis provides the following results:
- Sensitometry Mean Values
- Sensitometry Standard Deviation
- Water Insert
- Penumbra Width (-700 to -200 HU)
- Edge Plot
- Image Uniformity
- Maximum Deviation from Center
- Phantom Diameter
- Profile Plot
The measurements are completely automated, requiring the user only to drag and drop the image set into the web-based software interface. A detailed report is created.
Instructions
The test requires at least one image and it must be a DICOM file. The files must contain "quart" somewhere in the file name or that "QUART Analysis" is selected in the Type drop down as shown below:
When imaging QA tests are added to templates an upload control will appear in the scheduled QA's data entry screen allowing the user to upload images for automated analysis.
To add files to the upload queue simply drag them from a Windows Explorer folder to the drag and drop folder and release them. Alternatively, by clicking on the Add Files button to the lower right of the control a windows file selection dialog will open and files can be selected for upload. Under either method, multiple files may be selected for upload at once.
If the automatically upload checkbox is checked (the default) then file uploading will start immediately as files are added.
If the automatically upload button is turned to off the file upload process must be started manually clicking the Start upload button on the lower right of the control. To clear the upload queue click the Clear button.
Once file series have been uploaded they will be displayed below the upload control. To remove a series from the queue click the Cancel button beside the series. To start processing click the Start Processing button. A description for the image series can be added at this point. Click the Edit button next to the series. Type a description for the series into the text box that appears below Description and either click Save or press the enter key. The description can also be edited after the images have been processed. Descriptions will appear in the report with the analysis of the series.
While files are being processed users may perform other tasks such as data entry.
Available Tests
The following table shows the tests to select in the template builder corresponding to the supported analyses.
| Template Section | Subsection | Tests |
| Quart CT Analysis | Sensitometry |
|
| High Contrast Resolution |
|
|
| Uniformity |
|
|
| Spatial Linearity |
|
Image Acquisition Suggestions
Reference the latest manufacturer's guidance for phantom placement and scan acquisition parameters. The image set should include a full, contiguous scan of the phantom.
Detailed Discussion of Measurements
Sensitometry
A square 7mm x 7 mm region of interest (ROI) is drawn around the center of each material. The mean pixel value (adjusted by rescale slope and intercept) is reported for each ROI corresponding to the air1, air2, Teflon, polyethylene, acrylic1 and acrylic2 targets. For materials with two targets a mean of the ROIs is also reported.
The analysis uses the air voids (the smaller circles in the lower left and upper right of the image above ) to identify the location of the acrylic targets and is able to handle either orientation in the z axis or any rotation around the z axis.
For each of the aforementioned ROIs, a standard deviation of all pixel values in the ROI is reported along with a combined standard deviation for materials that have two ROIs.
Some models of the phantom will include a water plug test object between Air1 and Teflon. If empty, the plug will appear similar to the air test objects. For phantom models that include a filled water plug, the following table will be included if the water insert test is selected in the template.
To avoid reporting values for an empty or partially filled water plug, no value will be reported if the detected value is not between -20 and 20 HU.
High Contrast Resolution
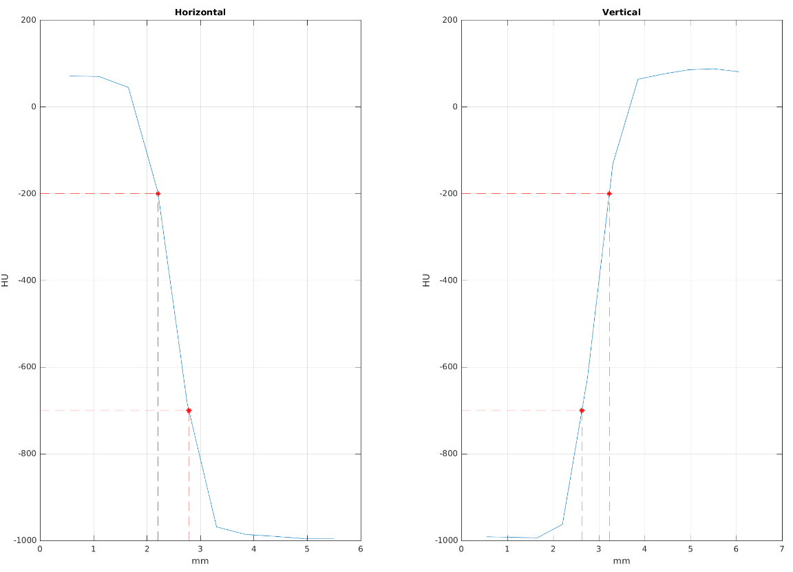
The sharpness of the edge of phantom is used to measure resolution by measuring the width of the penumbra of the edge profile.
To determine the high contrast resolution in the horizontal direction,
- the window level is set within a value of -1000 to +200 HU
- a small rectangular ROI (1 cm high and 0.5 cm wide) at the right edge of the phantom is selected and a profile plotted
- the distance between the profile points at -700 and -200 HU is measured and reported.
The same steps are taken for the vertical direction except the ROI is the top edge of the phantom.
The profile plots are provided so that the results may be visually confirmed.
Uniformity
Mean pixel values and standard deviations are reported for the center, top, right, bottom, and left ROIs as shown in the figure above. Each ROI is a 20mm x 20 mm square. The center of each ROI is marked with the plus sign.
The mean pixel value and standard deviation are reported for each ROI. The mean pixel values for the top, right, bottom, and left ROI is compared to the mean pixel value for the center ROI and the differences are reported.
The ROI with the greatest absolute difference from the center ROI mean is identified and reported separately.
Spatial Linearity
The phantom diameter is measured by setting the window level between -1000 to +200 and measuring the width of the the vertical and horizontal profiles that cross the center of the phantom as shown by the red line in the images below:
The profile plots are provided so that the results may be visually confirmed.
Sample Report
Below is an example of the report generated:
Comments
0 comments
Please sign in to leave a comment.